Summaries and visualization of relationships

Reflection on the last lecture

Objectives

At the end of the lecture, you will know how to…

  • Describe relationship of quantitative and qualitative variable.
  • Create and read box plots and violin plots.
  • Understand relationship of two quantitative variables.
  • Count and interpret correlation.
  • Create and understand scatterplots.
  • Assess what relationship (covariation) occurs between your variables.

Relationship of quantitative and qualitative variables

Boxplot

g <- ggplot(dartpoints) +
  aes(x = Name, y = Width)

Boxplot

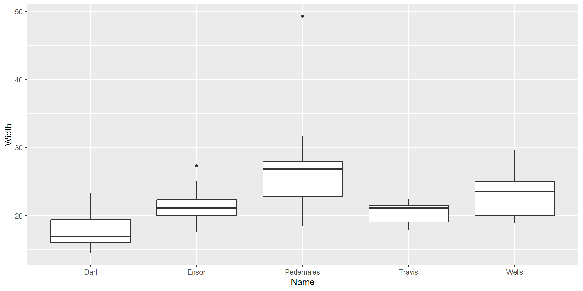
g <- ggplot(dartpoints) +
  aes(x = Name, y = Width)
  
g + geom_boxplot()

Boxplot

Also box and whisker plot, displays five-number summary.

Violin plot

g + geom_violin()

Violin plot

g + geom_violin() +
  geom_jitter(width = 0.05, alpha = 0.4)

Violin plot

g + geom_violin() +
  geom_boxplot(width = 0.15) +
  geom_jitter(width = 0.05, alpha = 0.2)

Relationship of two quantitative variables

Correlation

  • A statistic describing a relationship between two continuous variables.

  • To what degree is a variable y explained by x?

  • Correlation coefficient r, from -1 to +1.

  • Correlation does not imply causation!

  • r = 1 – strong positive correlation

  • r = 0.5 – moderately strong positive correlation

  • r = 0 – variables are not correlated

  • r = -0.2 – weak negative correlation

  • r = -1 – strong negative correlation

Function cor()

cor(dartpoints$Length, dartpoints$Width)
[1] 0.7689932
cor(dartpoints$Length, dartpoints$Weight)
[1] 0.879953
cor(dartpoints$Width, dartpoints$Thickness)
[1] 0.5459291

Scatter plot

  • Plot displying two continuous variables, x and y.
  • x axis: explanatory variable, independent, predictor.
  • y axis: dependent variable, response.
ggplot(dartpoints) +
  aes(x = Length, y = Weight) +
  geom_point()

Correlation examples

Correlation examples

Scatter plots

ggplot(data = dartpoints) +
  aes(x = Weight, y = Length) +
  geom_point()

Scatter plots

ggplot(data = dartpoints) +
  aes(x = Weight, y = Length, color = Name) + 
  geom_point(size = 3, alpha = 0.5)

Scatter plots

ggplot(data = dartpoints) +
  aes(x = Weight, y = Length, color = Name) + 
  geom_point(size = 3, alpha = 0.5) +
  labs(x = "Weight (g)", y = "Length (mm)", color = "Type",
       title = "Relationship of weight and length of dart points") +
  theme_light()

Scatter plots

ggplot(data = dartpoints) +
  aes(x = Weight, y = Length, size = Width, color = Name) + 
  geom_point(alpha = 0.5) +
  labs(x = "Weight (g)", y = "Length (mm)", color = "Type",
       title = "Relationship of weight and length of dart points") +
  theme_light()

Small multiples

ggplot(data = dartpoints) +
  aes(x = Weight, y = Length) + 
  geom_point(size = 3, alpha = 0.5) +
  geom_smooth(method = "lm", se = FALSE) +
  labs(x = "Weight (g)", y = "Length (mm)", color = "Type",
       title = "Relationship of weight and length of dart points") +
  theme_linedraw() +
  facet_wrap(~Name)

Exercise

  • Download data set with bronze age cups ( bacups.csv).
  • Create a project in RStudio and load the data set.
  • Explore the data set and its structure.
  • What are the observations?
  • What types of variables are there?
  • Create a plot showing distribution of cup heights (H).
  • Create a boxplot for cup heights divided by phases (Phase).
  • Are there any outliers?
  • Count correlation between cup height (H) and rim diameter (RD).
  • Create a plot showing relationship between cup height and its rim diameter.
  • Color cups from different phases (Phase) by differently.
  • Describe the relationship, add a linear model to the plot.
  • Label the axes sensibly.

Hints:
read.csv(),
str(),
colnames(),
summary(),
cor(),
ggplot() +
aes() +
geom_* + stat_*